Доступ к сервисам "Онлайн Электрик" без регистрации ограничен. Войдите в систему или зарегистрируйтесь.
|
Консультант по электроснабжению
Не нашли нужный онлайн-расчет по электроэнергетике? Свяжитесь с нами!
Бот Яша
Бот Яша подскажет как найти нужный онлайн расчет или базу данных на сайте "Онлайн Электрик".
Написать боту.
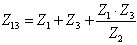
Эквивалентное преобразование треугольника в звезду и звезды в треугольник
Обе схемы будут эквивалентными, если при замене одной на другую токи и напряжения на их внешних зажимах не изменяются. Звезда эквивалентна треугольнику, если её сопротивления определяются через сопротивления треугольника по формулам:
Треугольник эквивалентен звезде, если его сопротивления определяются через заданные сопротивления звезды:
Прямое и обратное преобразование схем можно выполнить в режиме онлайн на сайте «Онлайн Электрик» (/332/332.php). Описание: В разделе сайта отражены ключевые теоретические аспекты в рамках эквивалентного преобразования треугольника в звезду и звезды в треугольник. Ключевые слова: Формулы сопротивления треугольника, преобразование треугольника сопротивлений в эквивалентную звезду, сопротивление звезды
Отзывы, вопросы и ответы
|










